map,
filter, fold и другиФункция, която извиква себе си

Използва се за постигане на цикличност. Често срещано във ФП
Избягва мутиране на състояние
По-естествен начин за описване на определени алгоритми. Пример - fact
Използвайки substitution model
fact(5)
--
5 * fact(5 - 1) =
--
5 * fact(4) =
--
5 * (4 * fact(4 - 1)) =
--
5 * (4 * fact(3)) =
--
5 * (4 * (3 * fact(3 - 1))) =
--
5 * (4 * (3 * fact(2))) =
--
5 * (4 * (3 * (2 * fact(2 - 1)))) =
--
5 * (4 * (3 * (2 * fact(1)))) =
--
5 * (4 * (3 * (2 * 1)))ако извикаме функцията с
Int.MaxValue ще получим
java.lang.StackOverflowError
“A recursive function is tail recursive when recursive call is the last thing executed by the function.”
Но защо?
fact(5, 1)
--
fact(5 - 1, 5 * 1) =
--
fact(4, 5) =
--
fact(4 - 1, 5 * 4) =
--
fact(3, 20) =
--
fact(3 - 1, 20 * 3) =
--
fact(2, 60) =
--
fact(2 - 1, 60 * 2) =
--
fact(1, 120) =
--
120
@tailrecНека преправим предните примери с опашкова рекурсия
Синтаксис
Функциите са обекти, които също си имат тип.
Когато дефинираме следната функция
всъщност се дефинира обект от тип
Function2 с метод apply
Function2
e нормален trait - репрезентира функции на два
аргумента
Съществуват подобни за функции на различен брой
аргументи - Function0 … Function22,
FunctionXXL
apply е специален. Обектите,
които го имат могат да бъдат извиквани като функцииРазлика между def и ламбдa?
Типът на addOne е Int => Int
Дефиниция - Функции, които приемат функции като параметри или връщат функции като резултат


List(1, 2, 3).map(_ * 2)
// res0: List[Int] = List(2, 4, 6)
List("foo", "bar", "baz").map(wrapWithDiv)
//res1: List[String] = List("<div>foo</div>", "<div>bar</div>", "<div>baz</div>")
List(1, -5, 6, -20).map(_.abs)
//res12: List[Int] = List(1, 5, 6, 20)
List(1, 2, 3).map(sum(_, 1))
//res11: List[Int] = List(2, 3, 4)


currying е преобразуването на функция с много параметри към последователност от функции, всяка приемаща един параметър
кръстено на Haskell Curry
алтернатива на частично приложените функции
И при двата случая isEvenLen изразява
s => even(len(s))
Scala 3 прави последното автоматично без нужда от tupled:

Третираме deck просто като стойност
case class Person(name: String, age: Int, address: Address)
case class Address(country: String, city: String, street: String)
def getOlder(person: Person): Person = person.copy(age = person.age + 1)
val youngRadost = Person("Radost", 24, Address("Bulgaria", "Veliko Tarnovo", "ul. Roza"))
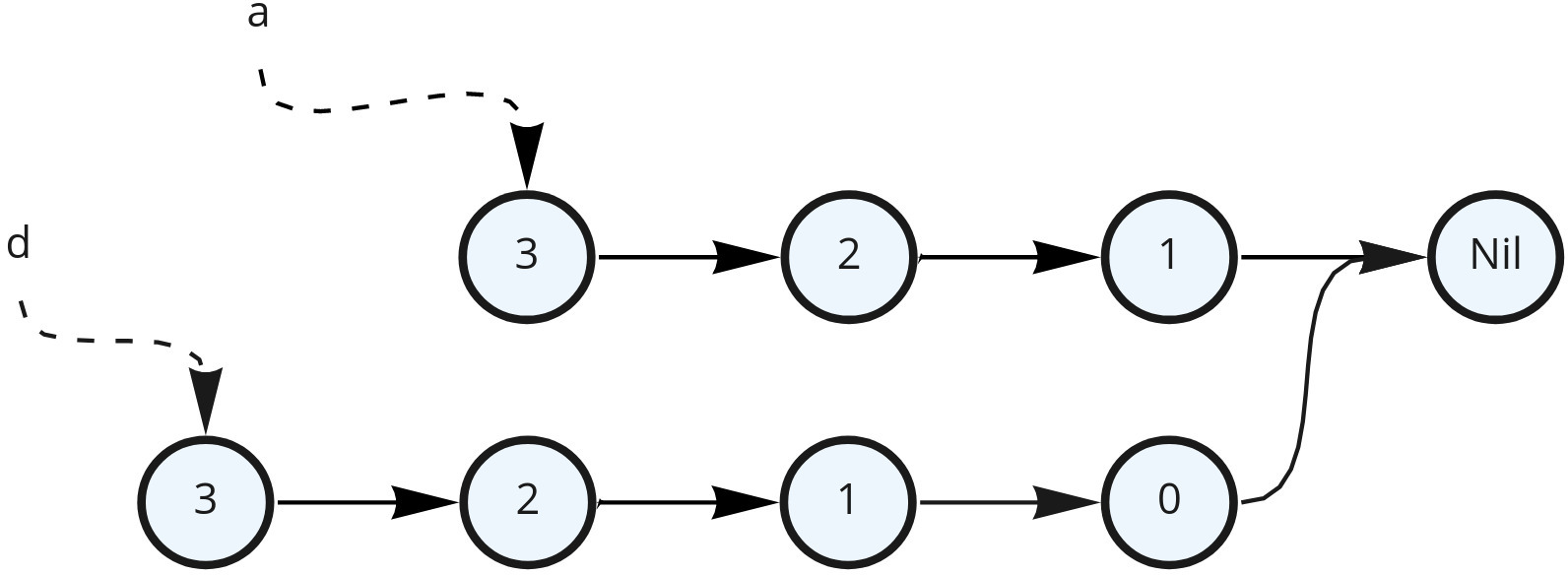
val olderRadost = getOlder(radost)Неизменимосттa ни позволява:
youngRadost и
olderRadost) остават валидниcase class Person(name: String, age: Int, address: Address)
case class Address(country: String, city: String, street: String)
def getOlder(person: Person): Person = person.copy(age = person.age + 1)
val youngRadost = Person("Radost", 24, Address("Bulgaria", "Veliko Tarnovo", "ul. Roza"))
val olderRadost = getOlder(radost)



Тук вече няма как да споделим общите елементи

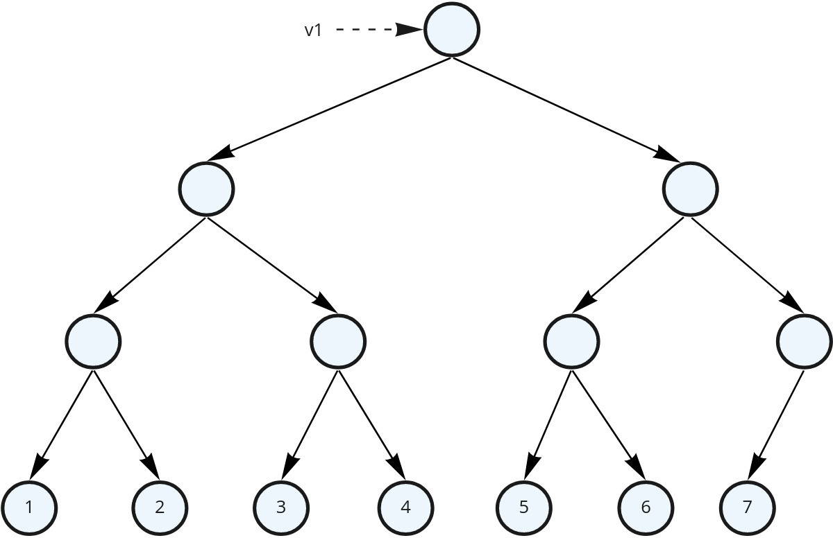
балансирано дърво
val v1 = Vector(1, 2, 3, 4, 5, 6, 7)
v1.head // 1
v1.last // 7
v1(4) // 5
// Трите операции имат еднаква сложност

Immutability Changes Everything от Pat Helland



EmptyTuple и инстанции на
Tuple1, Tuple2, …, Tuple22,
TupleXXLОт Scala 3 имат удобни методи:
(1, "Two", 3.0).size // 3
(1, "Two", 3.0).head // 1
(1, "Two", 3.0).tail // ("Two", 3.0)
Nil *: (1, "Two", 3.0) // (List(), 1, Two, 3.0)
(0, 1) ++ (2, 3, 4) // (0, 1, 2, 3, 4)
(0, 1, 2, 3, 4).take(2) // (0, 1)
(0, 1, 2, 3, 4).drop(2) // (2, 3, 4)
(1, "Two", 3.0).toList
// val res: List[Int | (String | Double)] = List(1, Two, 3.0)